168飞艇开奖官网开奖记录查询结果

天信仪表电话0517-86908060
全部类别
侧进测出型金属管浮子流量计
发布时间:2020-09-17 11:18来源:字体:
一、侧进测出型金属管浮子流量计概述
侧进测出型采用可变面积式测量原理,主要由三大基本部分组成:1、测量管体;2、锥形浮子;3、指示器。浮子的位移量与流量的大小成比例,通过磁耦合系统,以不接触方式,将浮子位移量传给指示器指示出流量的大小。也可配装不同的转换器,将流量值转换成标准如 4-20mA 电远传信号,实现远距离显示、记录、积算和控制等功能。
侧进测出型适用于测量液体、气体。在测量管的设计上针对不同的管道条件、特殊流体的测量要求,配置了多种结构型式的测量管,如保温夹套型、带阻尼器型等。除了标准的可选外,还可以为用户进行特殊设计,如高压型、高温型等,最大限度的满足用户的要求。
二、侧进测出型金属管浮子流量计特点
1、全金属结构设计,坚固、简洁、耐高压、耐高温、防腐、使用寿命长;
2、短行程,总高250mm,安装方便;
3、机械指针现场指示瞬时流量,LCD液晶显示瞬时流量、累积流量;
4、智能型指示器,采用国外信号采集处理芯片,模块化设计,无磁滞后;
5、具有数据恢复、数据备份、掉电保护及错误自诊断功能;
5、二线制24VDC供电,4~20mA标准电流信号;
6、可用于易燃、易爆危险场合;
三、侧进测出型金属管浮子流量计技术参数

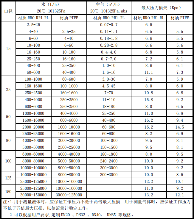
四、侧进测出型金属管浮子流量计流量表

五、水平安装金属管浮子流量计外形尺寸

六、侧进测出型金属管浮子流量计安装注意事项
1、流量计安装操作之前,应该拆卸所有包装,取出运输中固定浮子的部件,并检查有没有运输损坏。
2、流量计安装到工艺管道之前,工艺管道应该吹扫,将管道内的焊渣清洗干净,防止管道中杂质堵塞仪表,影响正常使用。
3、为了保证测量精度,推荐在流量计上游安装 5DN 的入口直管段,下游安装 250mm 出口直管段。
4、流量计有垂直安装和水平安装形式,如果是垂直安装形式,安装垂直度应该保证优于 1%,如果是水平安装形式,安装垂直度和水平度都应该保证优于 1%。
5、若介质中含有固体杂质,应在阀门和直管段间加装过滤器;若介质中含有铁磁物质,应在流量计的上游安装磁过滤器。
6、由于金属管浮子流量计安装了一个磁远传系统,要确保周围其他设备产生的磁场不影响测量结果。
7、若被测介质为大的脉动流或两相流,应在流量计的上游安装缓冲器来消除或减弱脉动,保证介质的流动是单相稳定的,同时,建议流量计最好使用阻尼型的。
8、测量气体的流量计,是在特殊压力下的校准,如果气体在流量计的出口直接排放到大气,将会在浮子处产生较大的压力损失,引起数据失真,如果这样的工况条件,应该在流量计的出口安装一个阀门,以便对所需流量值进行设定。当浮子上方维持标校压力时,气体将在阀门处膨胀。
9、为便于清洗和维护,保证生产正常运行,建议设旁通管路。详见流量计安装示意图;
10、安装管路的轴线必须与流量计同轴,并适当地支撑管道以避免振动和减小流量计所受应力,测量系统控阀应安装在流量计下游。
11、安装内衬聚四氟乙烯(PTFE)的浮子流量计时,紧固法兰螺栓时应对称紧固且勿过紧,以防PTFE变形。
七、侧进测出型金属管浮子流量计选型型谱
返回
标签:浮子流量计,金属管浮子流量计,侧进测出型金属管浮子流量计
168飞艇开奖官网开奖记录查询结果